En el mercado existen diversas clases de altavoces, sin embargo, los elegidos habitualmente por su versatilidad y superiores características, son los dinámicos de bobina móvil. A pesar de su apariencia externa, los altavoces de agudos (tweeters) también utilizan el mismo principio, aunque su membrana es más pequeña, mucho más ligera y en forma de cúpula.
PARTES PRINCIPALES
![]() |
| Sección transversal básica de un altavoz de graves. |
- Imán permanente.
- Placa anular polar anterior.
- Bobina.
- Pieza polar central y posterior.
- Orificio de ventilación.
- Diafragma.
- Araña.
- Cubierta central.
- Suspensión periférica.
- Chasis. Cajas acústicas y altavoces
El diafragma, o también denominado membrana, es un componente decisivo por su gran contribución a la calidad del sonido, se suele realizar de forma cónica con perfil exponencial, y para su fabricación se usan diversos materiales como pueden ser: celulosa, polipropileno, aluminio, magnesio, berilio, fibra de vidrio, cerámica, Kevlar, fibra de carbono, etc. Los materiales más rígidos producen una menor distorsión y soportan mejor las grandes excursiones, aunque a frecuencias altas aparecen molestos picos de respuesta (debido a la facilidad de estos materiales para propagar diversas oscilaciones radiales y concéntricas o breakup modes) que obligan a emplear filtros de 3er o 4º orden, o incluso filtros notch. Por contra, los materiales blandos, que poseen una amortiguación interna mayor, suelen exhibir un sonido más “suave” y una respuesta más plana, aunque con una distorsión superior; para su filtrado suele ser suficiente con un 1er o 2º orden.
Como protección de la bobina el orificio del diafragma se cierra con una cubierta central, que va adherida a él, lo cual sirve también para aumentar la rigidez y mejorar la radiación sonora.
La suspensión periférica y la araña guían el movimiento del diafragma, mantienen centrada a la bobina en el entrehierro proporcionando, además, la elasticidad requerida al conjunto limitándolo, a su vez, de una excesiva excursión. Para la fabricación de la suspensión se emplean habitualmente elastómeros termoplásticos con perfiles muy variados, la araña es un disco de perfil corrugado confeccionado con diferentes fibras entrelazadas tratadas convenientemente. Los valores de la elasticidad mecánica y del factor de calidad mecánico vendrán definidos en gran medida por estos dos elementos.
El conjunto de la bobina móvil es el auténtico motor del altavoz. En esencia es un conductor enrollado en forma de bobina (con las capas, sección y longitud requeridas) sobre un fino soporte cilíndrico capaz de soportar las temperaturas que se generen. El conductor suele ser de diversas aleaciones de cobre o aluminio. Este conjunto tiene una importancia crítica en cuanto al rendimiento, impedancia, distorsión o potencia máxima. La inductancia se debe mantener en los valores más bajos posibles para extender la respuesta en frecuencias altas.
Para el imán permanente se utilizan la ferrita y el neodimio. Las diferentes piezas polares (de hierro) se encargan de distribuir y potenciar el campo magnético en el entrehierro. Se debe practicar un orificio de ventilación en el polo central para permitir el movimiento del aire del interior de la cámara.
El chasis es donde se ensamblan las diferentes piezas del altavoz, su estructura debe de serlo suficientemente rígida como para soportar las intensas vibraciones, y preferiblemente será de metal no magnético, como el aluminio.
PARÁMETROS DEL ALTAVOZ
Analizando debidamente los parámetros del altavoz (suelen denominarse parámetros Thiele - Small) podemos predecir teóricamente su comportamiento. Todos ellos están íntimamente interrelacionados, de tal forma que, si modificamos sólo uno de ellos afectará al valor de la gran mayoría. Los parámetros principales de un altavoz montado en pantalla infinita son:
𝑓𝑆 : Frecuencia de resonancia (Hz): en la que la impedancia eléctrica alcanza un máximo, y esto ocurre cuando la impedancia de la masa es igual a la de la compliancia.
𝑓3 : Frecuencia de corte inferior del altavoz a -3 dB (Hz): dependerá de 𝑓S y QTS, por lo general bastante cercana a 𝑓S (ver el apartado sobre QTS).
𝑓𝑝 : Frecuencia de respuesta de pico (Hz): solo si QTS > 0,71. También estará cerca de 𝑓S (ver el apartado sobre QTS).
Re : Resistencia eléctrica de la bobina (Ω).
Le : Inductancia eléctrica de la bobina (H).
Znom : Impedancia nominal (Ω): Aproximadamente el valor mínimo de la impedancia después de la resonancia. La impedancia total del transductor depende de varios aspectos: Re, Red (resistencia debida a las corrientes de Foucault), ZL (impedancia motivada por la inductancia de la bobina) y Zmov (impedancia del movimiento).
![]() |
| Impedancia típica de un woofer en función de la frecuencia. |
P : Potencia máxima (W): La potencia eléctrica máxima realmente importante es la que puede manejar, sin sufrir daños, y de forma continuada en su ancho de banda útil (aplicando durante varias horas ruido rosa). Es conveniente asegurarse de que se ha realizado bajo estándares oficiales (por ejemplo, la IEC 60268-5).
η : Rendimiento o eficiencia (-): Relación entre la potencia acústica y potencia eléctrica. Como no es constante con la frecuencia se define la eficiencia de referencia: η0 que es el rendimiento a frecuencias medias. Para expresarlo en % multiplicar el resultado de la expresión por 100.
LP : Sensibilidad (dB): Nivel de presión sonora, o SPL, a 1m de distancia trabajando con 1W de potencia eléctrica. Se suele indicar a frecuencias intermedias.
Últimamente, hay cierta preferencia por expresar el nivel de presión acústica a 1m de distancia, pero trabajando con un voltaje 2,8V. En los transductores de 8Ω la sensibilidad es la misma, pero si la impedancia es menor la sensibilidad obtenida es mayor que si se usase 1W como referencia.
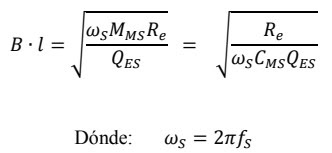
B : Densidad de flujo magnético (T): Su valor depende de la calidad del imán, y su magnitud permanece invariable. Cuanto más grande sea se logrará un mayor rendimiento, mejor linealidad, menor distorsión, aumento de potencia acústica y mejor respuesta transitoria. Aquí la elección es fácil: escoger el altavoz con la mayor densidad de flujo magnético en el entrehierro.
Bl : Factor de fuerza (N/A): Es el parámetro anterior multiplicado por la longitud total del hilo de la bobina. A mayor magnitud, más bajo será QES y se obtendrá un mejor gobierno del diafragma.
RMS : Resistencia mecánica de la suspensión periférica y de la araña (Ns/m): Pérdidas de energía por rozamiento. Si no existiera dicha resistencia el diafragma oscilaría indefinidamente.
RME : Resistencia mecánica de perdidas eléctricas (Ns/m): Igual al anterior, pero en lo referente a las pérdidas eléctricas.
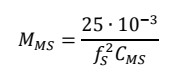
MMS : Masa mecánica (Kg): En dicha masa se incluyen la bobina, el diafragma y el aire desplazado en ambos lados. Proporciona una idea de la capacidad de la masa para almacenar energía en forma de inercia, por lo tanto, la mejor respuesta temporal se obtendrá con MMS bajos. Cuanto mayor sea la masa peor será el rendimiento y su respuesta en agudos empeorará.
CMS : Compliancia o elasticidad mecánica (m/N): Capacidad de la suspensión para almacenar energía elástica. Un valor alto señala una suspensión blanda, y una CMS baja una suspensión rígida.
QES : Factor de calidad eléctrico (-): Proporción entre la energía almacenada y la disipada en la resonancia, e indica las perdidas por motivos electromagnéticos.
QMS : Factor de calidad mecánico (-): Igual que el anterior, pero por motivos mecánicos.
QTS : Factor de calidad total (-): Indica la amortiguación de la resonancia, mostrando la anchura relativa del pico de la resonancia. Se halla efectuando el “paralelo” entre QES y QMS por lo que siempre estará muy cercano a QES.
En relación a su respuesta transitoria se pueden dividir en:
- QTS > 0,5 menos amortiguado, pico de resonancia más estrecho y mala respuesta temporal. Se suele escoger para woofer por su comportamiento en graves (𝑓3 más baja).
- QTS < 0,5 más amortiguado, pico de resonancia más ancho y buena respuesta transitoria (sin sobreoscilaciones).
![]() |
| Respuesta al escalón de un altavoz con 𝑓S = 40 Hz, para diferentes valores de QTS. |
En cuanto a la respuesta en frecuencia los valores de QTS más adecuados están entre 0,5 y 1, cumpliéndose, además, que:
- Si QTS > 0,71 entonces: 𝑓3 < 𝑓S
- Si QTS < 0,71 entonces: 𝑓3 > 𝑓S
SD: Superficie efectiva del diafragma (m²): Su radio se mide desde el centro a la mitad de la suspensión periférica.
La respuesta de presión sonora generada por el altavoz tiene su origen en las aceleraciones y deceleraciones que se producen en su membrana. El movimiento del diafragma es complejo, así que intentaré explicarlo sintetizando algunos conceptos:
Directividad del pistón en pantalla infinita: Un transductor no presenta directividad alguna hasta frecuencias cuya longitud de onda sea igual al perímetro de su diafragma: 𝑓dir (Hz), a partir de ahí comienza a hacerse direccional; y ya en longitudes de onda menores que tres veces su perímetro presenta una marcada directividad. Es decir, un altavoz deja de ser omnidireccional para frecuencias superiores a 𝑓dir.
En frecuencias en rango de pistón toda la superficie de la membrana se desplaza uniformemente, cumpliéndose que:
- Si 𝑓 < 𝑓S el movimiento está controlado por la compliancia (CMS) de tal forma que el desplazamiento es constante con la frecuencia, la velocidad es proporcional a 𝑓 y la aceleración es proporcional a 𝑓².
- Si 𝑓 > 𝑓S el movimiento está controlado por la masa (MMS) de tal forma que el desplazamiento es inversamente proporcional a 𝑓², la velocidad es inversamente proporcional a 𝑓, y la aceleración es constante con la frecuencia.
En frecuencias superiores al rango de pistón la membrana apenas se desplaza, generándose en ella diversos modos de vibración en los que el movimiento puede ser no lineal. Además, las aceleraciones necesarias para radiar frecuencias agudas pueden verse comprometidas por la inercia de una elevada masa móvil.
𝑓3H : Frecuencia de corte superior del altavoz a -3 dB (Hz): En líneas generales es proporcional a RE e inversamente proporcional a la inductancia.
xmax : Desplazamiento máximo (m): Movimiento máximo que puede efectuar el diafragma desde el reposo hacia dentro, o hacia fuera, sin perder linealidad.
VD máx : Volumen máximo de aire desplazado por el diafragma (m³):
VAS : 3Volumen de aire con la misma elasticidad que la suspensión (m³): Un valor alto indicará una suspensión blanda para una misma SD.
ELECCIÓN DEL ALTAVOZ
Escogeremos siempre los altavoces que tengan en su banda útil las distorsiones más bajas (en los woofers nos fijaremos en la producida por los armónicos en su zona más grave). Examinaremos las curvas de respuesta en frecuencia eligiendo las más extensas y planas, sin olvidarnos tampoco de su comportamiento polar (directividad).
La respuesta transitoria, o temporal, indica cómo y en cuanto tiempo reacciona el altavoz al aplicarle una señal (por lo general un escalón), por lo que, la respuesta del transductor seleccionado deberá aproximarse todo lo posible a la ideal (reacción rápida y con bajas, o nulas, sobreoscilaciones). Cuanto más bajo sea QTS mejor respuesta transitoria obtendremos, aunque su 𝑓3 será más elevada. (En las diversas operaciones, los valores empleados de la densidad del aire y la velocidad del sonido a 20º C, son: 𝜌 = 1,20 𝑘𝑔/𝑚3, 𝑐 = 343 𝑚/𝑠).
Como norma general, una densidad de flujo magnético en el entrehierro elevada nos proporcionará una mayor sensibilidad, mejor linealidad, mejor respuesta transitoria y una menor distorsión.
Los woofers más aconsejables para montar en las cajas acústicas bass réflex deben de tener un factor de calidad total bajo, una masa del diafragma pequeña, un volumen de aire equivalente bajo y un desplazamiento máximo de la membrana no demasiado alto.
Por el contrario, los altavoces idóneos para los recintos acústicos cerrados deben de poseer un QTS más alto, una MMS relativamente alta, un VAS alto, un xmax alto y una frecuencia de resonancia lo más baja posible.
El parámetro denominado EBP, o efficiency bandwidth product, se define como:
Un valor de EBP menor o alrededor de 50 es aconsejable para recintos cerrados, mientras que una cantidad próxima o mayor a 100 sería adecuada para cajas bass réflex.
MEDICIÓN DE PARÁMETROS
Hay varios métodos para la medición de los parámetros básicos del transductor, pero el aquí mostrado es el que proporciona una mayor precisión.
- El valor de la resistencia tiene que ser 10Ω, aunque debemos de medir su magnitud exacta: RS.
- Medir igualmente, con un multímetro, la resistencia del altavoz: Re.
- Suspender el transductor alejándolo al menos 1m de cualquier obstáculo, y montar el circuito.
- Ajustar el generador a una frecuencia aproximada del triple de su frecuencia de resonancia, y ajustar la salida del amplificador al voltaje aproximado de VS = 1V (señal pequeña). Comprobar que se encuentra en la zona lineal de la impedancia incrementando y disminuyendo ligeramente la frecuencia y observar que el voltaje en RS apenas cambie de valor. Calcular IS dividiendo el voltaje de RS, por la resistencia RS.
- Ahora, variar la frecuencia hasta que el voltaje en RS sea mínimo, medir dicho valor: VM; así como el de la frecuencia, que será precisamente el de la resonancia: 𝑓S.
Calcular:
Variar la frecuencia a ambos lados de 𝑓S hasta que el valor del voltaje en RS sea igual a VR, estos valores serán 𝑓1 y 𝑓2. Comprobar que:
Para medir el VAS hay que adherir al cono del altavoz una masa adicional (Un buen pedazo de Blu-Tack puede servir) conocida: m, suficiente como para que varíe la frecuencia de resonancia al menos un 25%: 𝑓'S
En el mercado encontramos software y hardware específicos que facilitan la medición de todos los parámetros del altavoz. Dos buenos ejemplos son el Woofer Tester 2 de Smith & Larson Audio (www.woofertester.com) y el DATS V3 de Dayton Audio (www.daytonaudio.com)
IDENTIFICACIÓN DE TERMINALES
El terminal “positivo” del altavoz suele ir marcado con un signo (+) o con un punto de color rojo. Podemos comprobarlo conectando por un instante una pila de 1,5 V a sus bornes. Al unir el polo positivo de la pila con el terminal “positivo” del altavoz el diafragma se desplazará hacia el exterior, igual que en la figura mostrada. Si usamos un altavoz con los terminales invertidos este funcionará con un desfase de 180º respecto a otro con los terminales sin invertir.
ASOCIACIÓN DE ALTAVOCES
Los altavoces deben de ser iguales (misma marca y modelo), estar ubicados en el mismo recinto, no muy distanciados entre sí, y además en fase (fuentes coherentes). De no ser así el resultado será del todo impredecible.
Dos altavoces en paralelo:
Al sustituir un solo altavoz por dos en paralelo y mientras la fuente siga proporcionando la misma tensión: la impedancia equivalente será la mitad, la intensidad y la potencia eléctrica
se duplicarán, y el desplazamiento de cada uno seguirá siendo el mismo.
Dos altavoces en serie:
En este caso, y mientras la fuente siga proporcionando la misma tensión, ocurrirá que la impedancia equivalente será el doble y, por lo tanto, la intensidad y la potencia eléctrica
serán la mitad.
Los parámetros equivalentes de las dos asociaciones son los mostrados en la siguiente tabla:
Siempre que el amplificador lo soporte suele ser preferible la asociación en paralelo. Además del aumento de la potencia admisible, la ventaja de esta unión es la reducción de la distorsión porque para conseguir el mismo nivel de presión sonora el desplazamiento de los diafragmas será inferior. Esta asociación se utiliza también en configuraciones tipo D’Appolito (midrange - tweeter -midrange).
Jesús Losada Prieto






























